🍂October, October, October! At Kabakoo it meant running exciting experiments while preparing our “Back to School” moment. And we have some cool learnings to share with you. So buckle up! Here is your good read for the weekend from our side of the planet…🚀
🎶This month, we've been inspired by Sam Fan Thomas and his African Typic Collection. This groovy, funky, and classic Pan-african tune has been making us mooove throughout October. 💃🏿🕺🏿…🎶
We recommend you to turn the music on while making your way through these updates. 😝
What are we building?
Kabakoo is a community-driven upskilling platform designed to allow young people in West Africa to develop the mindset and the skills needed to improve their life in a context of scarce formal jobs.
☀️ October 2024 Highlights
At Y Combinator, they say startups must launch and launch again. And that is basically how we approach our work. So our latest cohort was a new launch. As you might recall from our last newsletter, we revamp our product by crafting sector specific tracks. We adapted our communication to make it sound more similar to the way traditional educational organizations communicate. And it worked.
With 5385 applicants, we had a successful application season. Out of them, more than 2500 applicants complete the baseline survey for the Recruit and Delay Control design we have integrated in all our cohorts. The baseline is a pretty long self-administered survey (25-35 minutes to fill out) which can actually act as a some sort of light motivation test. After the survey, all the applicants must take a quiz. Again here, the goal is not to test their knowledge but just their motivation as the quiz mostly test their attention. They receive shorts videos of 3-4 minutes per WhatsApp and must then answer multiple-choice questions based on the videos content. More than 1200 applicants finished all the 4 levels of the quiz. We randomly selected 400 out of the 1200 who finished all the process to offer them a training at Kabakoo.
But here, we face our old problem: How to ensure that receiving a training for free does not lead us to high drop-out rates, especially since our training duration is higher (4 months) than the traditional free training from the NGO and big aid sector. We know very surely from our previous experiences that the above described selection process, as elaborated as it might be, does not solve that problem.
So, we did a pretty cool experiment with this cohort. 😎
Here it goes: According to our new path-dependency-inspired launch based on framing our offering in ways similar to conventional education offering, we told the selected candidates that there were offer a scholarship on the tuition fees, but they need to pay only the registration fees of 20 000 Franc CFA (USD33) to access the training. This is a common practice among private schools and universities here (students received a waiver on the tuition fees but must still pay some sort of registration/administrative fees).
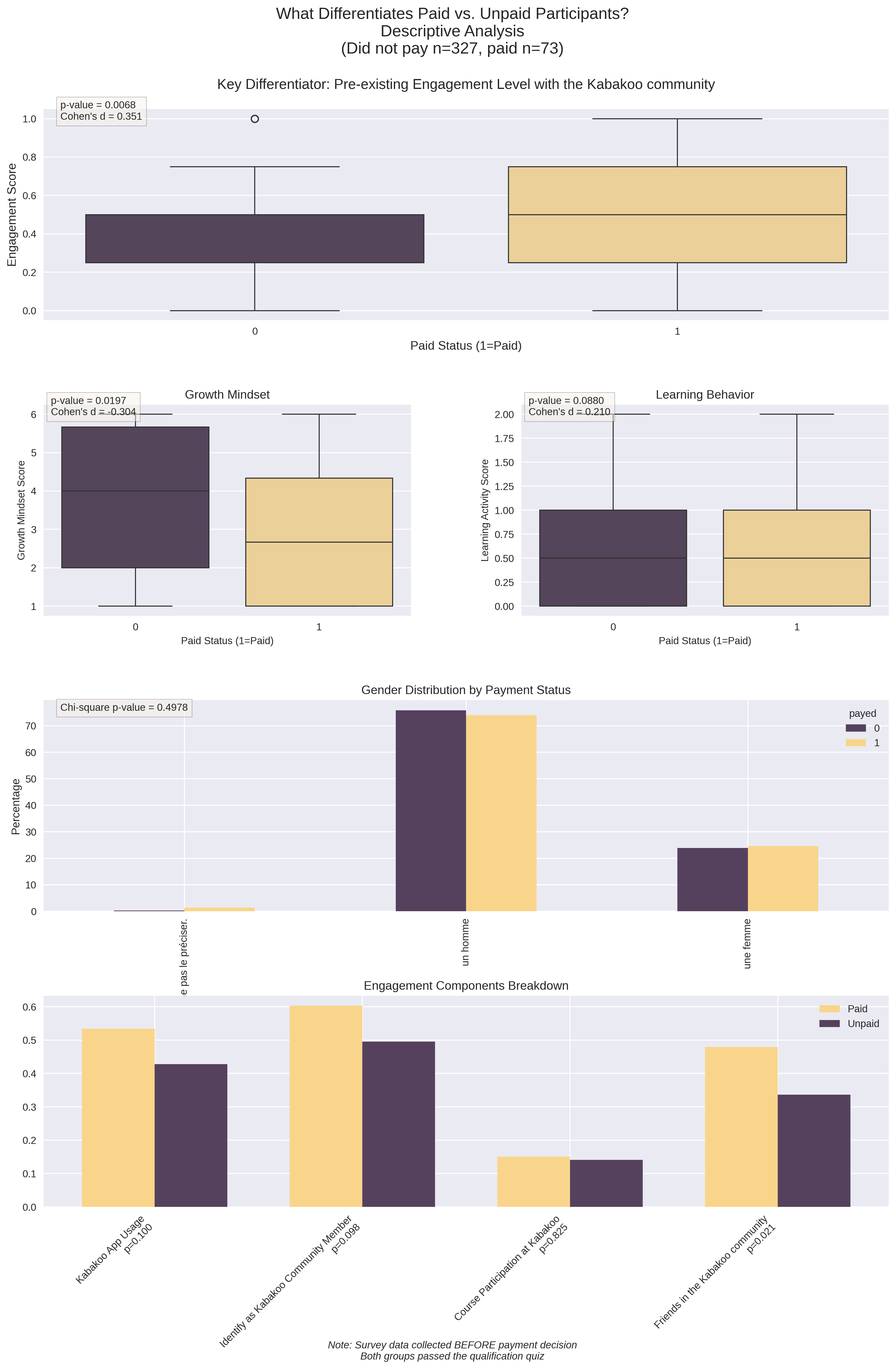
Out of the 400, 73 paid. Yes, this was hard hitting. A real blast on our ego. You know, how come the people just don’t pay the few bucks to join Kabakoo while they pay x10 the amount for mostly outdated private schools?! But, well, we here to learn and grow.
Let’s focus on the positive: This gave us some pretty solid behavioral data to explore!
What makes a young Malian invest in a training with Kabakoo? It’s not their current economic activity, it’s not their socioeconomic background (as measured by the parents’ occupation), it’s not their gender (this finding was a really refreshing one), it’s not their optimism (or lack thereof) about the future, it’s not the their level of education, neither their age or their access to internet.
It’s their level of previous engagement with the Kabakoo community. More specifically, having friends in the Kabakoo community seems to be the most significant factor associated with the behavior of investing in a Kabakoo training.
Interestingly, people who paid for the training displayed on average a lower growth mindset score than the group who did not pay. When we first saw the results, we thought of this as a kind of paradox, as we might expect a high growth mindset score to be associated with investment in training and not the contrary as our data show.
But thinking a little bit deeper, we realize that this resonates with the ideas of social cohesion (as discussed in the framework of the social brain). An individual with a strong and pre-existing social network within Kabakoo might be more inclined to invest in training, even with a lower "growth mindset" score. The influence of the group and the sense of belonging could outweigh the impact of the "growth mindset" in this case.
We can also look at it from the perspective of access to resources and social support, major determinant of behaviors as per one recent synthesis of meta-analyses on the determinants of behavior and their efficacy as targets of behavioral change interventions. Similarly to the social cohesion argument, an individual with a lower growth mindset score might be more inclined to invest in their future, if they receive substantial support from their social network, thereby compensating for a lower level of confidence in their ability to succeed.

As mentioned above, we looked at a bunch of other variables such as the respondent’s economic situation, their level of education, their age, their parents’ occupation, and many more. All of them were not associated with paying or not. We even ran some multivariate analysis, and previous engagement with Kabakoo was still the main differentiator. We are happy to share the data with anyone interested 🙂
Measuring potential spill-overs of our work has always been on our to-do. But we were more oriented toward measuring spill-overs in terms of the economic gains by the learners. The above insights bring another perspective on the positive spill-overs of our work: our investment in the community part of our work seems to be worthwhile. If just knowing Kabakoo members, can help youth to decide to invest in their skills (even when they show a low growth mindset score), our impact might not just be the increase in skills and income of the people we serve, but also their influence on their peers.
Of course, this experiment means that our cohort will be less than 100 learners strong, while we had the capacity to intake 3 to 4 times that level. It’s fine to us. The learning we did with the experiment is valuable. And it will help us strengthen our processes and offerings for the next rounds of application. We are dedicated to scale as much as we are dedicated to learning. As you can see from the figures, we could have easily started a training with even 3000 learners. This of course sounds nice, big numbers and such… but, well, we are not part of the “train and pray” camp.
Scaling personalized communication on WhatsApp with our AI Mentor
The impact of this integration is evident in the enthusiastic responses from our applicants. As you can read in the below screenshot, many candidates even expressed their amazement. The last message of that applicant reads "Thank you and have an excellent evening as well, it's strange even though I know I'm communicating with Artificial Intelligence 😁" This reaction highlights the seamless and natural interaction our AI mentor provides.

The scale of our AI Mentor answering questions in WhatsApp is impressive - in October alone, it processed over 15,000 queries. These interactions covered a wide spectrum, from providing information about our training programs and Kabakoo itself to guiding applicants through the registration process.

By leveraging AI, we're able to offer personalized support to thousands of learners simultaneously. This approach is crucial in our mission to expand access to agency-accelerating training for thriving livelihoods across West Africa.
As we progress towards our ambitious goal of serving one million learners by 2030, this expansion exemplifies the power of AI in scaling our impact. It's not just about reaching more young people; it's about providing them with responsive, tailored support that can truly make a difference in their upskilling journey.
Sector-specific tracks show different behaviors along the funnel
As announced in last month's newsletter, we're excited to share the breakdown of applicants across our sector-specific tracks.
You can observe on the chart below that the selection funnel for six programs highlights significant drop-offs at each stage from applications to final selection. While the Urban Organic Agriculture program attracted the highest number of applicants, Fashion & Music Digital Makers and BTP (Construction) Digital Makers retained a higher percentage through each stage, suggesting strong engagement. This analysis might suggest that specific programs may generate a stronger engagement or commitment from the applicants.
If you are curious to see the distribution of quiz results among the tracks, you can check our internal Airtable dashboard here.

Kabakoo Faces
(With over 34 821 registered learners, each month we spotlight a member of our vibrant community.)

Stairs or elevators, what to chose? Well, probably it depends on the situation. Lassine went for the lift. After a year of fruitless job hunting post-graduation, he discovered Kabakoo through social media. After getting accepted in a Kabakoo cohort, he relocated to Bamako to fully immerse himself in our program.
Lassine likens Kabakoo's training to an elevator, rapidly propelling him upwards—in contrast to the slower climb of other training opportunities he has experienced, which he compares to stairs. You can listen for yourself in his video here.
Teaser 😎
Do you know whom the youth in Mali trust most for important matters? We are running a representative youth survey across Mali to learn just about that. Find out in our next newsletter!
Thank you for reading to the end ! 💜🧡
Michèle & Yanick




.jpg)

